Question 1: 
Question 2: 
Question 3:
Six bells rang together at 8:00 am. If all of them ring at intervals of 2, 4, 6, 8, 10 and 12 minutes, then at what time will they ring together again?
छः घण्टियाँ एकसाथ प्रातः 8:00 बजे बजी। यदि ये सभी 2, 4, 6, 8, 10 एवं 12 मिनट के अन्तराल पर बजती हों, तो पुन: कितने बजे इकट्ठा (एकसाथ) बजेंगी?
Question 4:
A square number is divisible by 6. Then, which of the following statements need not always be true about that square number?
एक वर्ग संख्या 6 से विभाज्य है। तब, निम्न में से किस कथन का उस वर्ग संख्या के बारे में सदैव सत्य होना आवश्यक नहीं है?
Question 5:
After joining as a chemist in fire cracker production company, Meenu was told that to make a specific type of gun powder; Carbon, Sulphur and Pottasium Nitrate must to be mixed in the ratio 3 : 2 : 1. If 1.2 kg of gun powder is to be made, then how much Sulphur she should add ?
एक पटाखे बनाने वाली कंपनी में कैमिस्ट के पद पर नियुक्त होने के बाद, मीनू को बताया गया कि एक विशिष्ट प्रकार का बारूद बनाने के लिए कार्बन, सल्फर और पोटैशियम नाइट्रेट को 3 : 2 : 1में मिलाया जाना चाहिए। यदि 1.2 kg बारूद बनाया जाना है, तो उसके लिए उसे कितना सल्फर लेना चाहिए?
Question 6:
The diagonals of a rhombus are 10 cm and 24 cm respectively. Then, its perimeter (in cm) is:
एक समचतुर्भुज के विकर्ण क्रमशः 10 cm एवं 24 cm हैं। इसका परिमाप (cm में) है :
Question 7: 
Question 8:
The number of vertices, faces and edges of a polyhedron are 10, x and 15 respectively. Then the value of 3x – 8 is :
किसी बहुफलक के शीर्षों, फलकों और किनारों की संख्याएँ क्रमशः 10, x और 15 है। तब 3x – 8 का मान है -
Question 9:
There are 45 lakh people above 45 years, then how many persons are there in the age group 16-30 years.
45 वर्ष से अधिक वाले 45 लाख लोग हैं, तो 16-30 वर्ष के आयु वर्ग में कितने व्यक्ति हैं?
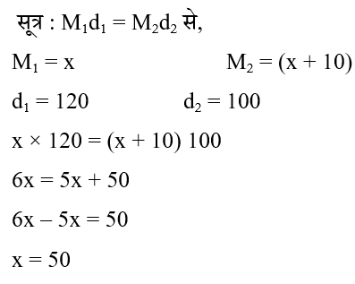
Question 10:
X पुरुष 120 दिनों में एक काम पूरा कर सकते हैं। अगर 10 आदमी और अधिक होते तो काम को पूरा करने में 20 दिन समय कम लगता। X का मान ज्ञात करें।








