Question 1:
What should be the attitude of a police officer towards goons?
पुलिस अधिकारी का रुख गुण्डों के प्रति कैसा होना चाहिए?
Question 2:
What are the reasons for the lack of improvement in the status of women?
महिलाओं की स्थिति में सुधार न होने के क्या कारण है?
Question 3:
Select the option that has the same relation with the fifth number as the second number is with the first number, and the fourth number is with the third number.
उस विकल्प का चयन कीजिए जिसका पांचवी संख्या से वही संबंध है, जो दूसरी संख्या का पहली संख्या से है, और चौथी संख्या का तीसरी संख्या से है।
72 : 90 :: 48 : 60 :: 24 : ?
Question 4:
What is the minimum value of "*" so that the number 451*603 is exactly divided by 9?
"*" का न्यूनतम कितना मूल्य रखा जाए कि 451*603 संख्या 9 से पूरी तरह विभाजित हो जाए ?
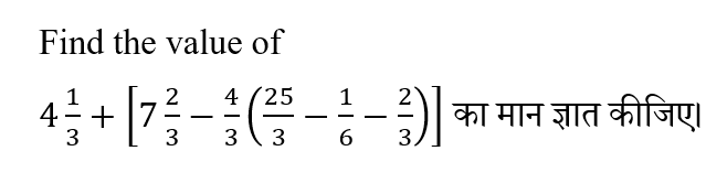
Question 5: 
Question 6:
Radha saves 25% of her income. If her expenditure increases by 20% and her income increases by 29%, find the increase in her savings.
राधा, अपनी आय का 25% बचाती है। यदि उसके व्यय में 20% की वृद्धि होती है और उसकी आय में 29% की वृद्धि होती है, तो उसकी बचत में वृद्धि ज्ञात करें।
Question 7:
A person sells an item at a loss of 8%. If he had sold it at a profit of 10.5%, he would have got Rs 92.50 more. At what price should he have sold it to make a profit of 12%?
एक व्यक्ति 8% की हानि पर एक सामान बेचता है। यदि उसने इसे 10.5% के लाभ पर बेचा होता, तो उसे 92.50 रु. अधिक मिलते। 12% लाभ प्राप्त करने के लिए, उसे किस मूल्य पर बेचना चाहिए था ?
Question 8:
18 workers can complete one-third of a work in 27 days. How many workers can complete the whole work in 9 days?
18 मजदूर एक कार्य के एक तिहाई को 27 दिन में पूरा कर सकते हैं। कितने मजदूर पूर्ण कार्य को 9 दिन में पूरा कर सकते हैं ?
Question 9:
When a person goes from his home to office at a speed of 10 km/hr, he gets delayed by 20 minutes. When he goes at a speed of 15 km/hr, he gets delayed by 5 minutes. What is the distance (in km) between his office and home?
जब एक व्यक्ति 10 किमी./ घंटा की चाल से अपने घर से कार्यालय जाता है, तो उसे 20 मिनट की देरी होती है। जब वह 15 किमी./घंटा की चाल से जाता है, तो उसे 5 मिनट की देरी होती है। उसके कार्यालय और घर के बीच की दूरी (किमी. में) कितनी है?
Question 10:
What will be the amount of Rs 10000 (in rupees) after 2 years at compound interest compounded annually, where the interest rate in the first year is 10% and the interest rate in the second year is 12% per annum?
वार्षिक संयोजित किए जाने वाले चक्रवृद्धि ब्याज पर, जिसमें पहले वर्ष की ब्याज दर 10% हो और दूसरे वर्ष की ब्याज दर 12% वार्षिक हो, तो रु. 10000 की राशि 2 वर्ष के पश्चात (रुपये में) क्या होगी ?







