UPSC NDA Mathematics II 2024 (30 June 2024)

Question 1: Upsc Nda Mathematics Ii 2024 (30 June 2024) 1

  • 0

  • –1

  • –3

  • 3

Question 2: Upsc Nda Mathematics Ii 2024 (30 June 2024) 3

  • 1

  • 1/2

  • 2

  • 0

Question 3: Upsc Nda Mathematics Ii 2024 (30 June 2024) 5

  • न तो I और न ही II / Neither I nor II

  • केवल I / Only I

  • I और II दोनों / Both I and II

  • केवल II / Only II

Question 4: Upsc Nda Mathematics Ii 2024 (30 June 2024) 7

  • I और II दोनों / Both I and II
     

  • केवल I / Only I

  • न तो I और न ही II / Neither I nor II

  • केवल II / Only II

Question 5: Upsc Nda Mathematics Ii 2024 (30 June 2024) 9

  • 82

  • 81

  • 83

  • 84

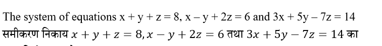
Question 6: Upsc Nda Mathematics Ii 2024 (30 June 2024) 11

  • उपरोक्त में से कोई नहीं / None of the above

  • अनन्त हल होंगे / There will be infinite solutions

  • कोई हल नहीं है / There is no solution

  • अद्वितीय हल होगा / There will be unique solution

Question 7: Upsc Nda Mathematics Ii 2024 (30 June 2024) 14

  • d

  • b

  • c

  • a

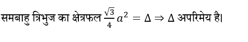
Question 8: Upsc Nda Mathematics Ii 2024 (30 June 2024) 16

  • एक काल्पनिक संख्या / an imaginary number

  • एक पूर्णांक / an integer

  • एक परिमेय संख्या / a rational number

  • एक अपरिमेय संख्या / an irrational number

Question 9: Upsc Nda Mathematics Ii 2024 (30 June 2024) 18

  • b

  • c

  • d

  • a

Question 10: Upsc Nda Mathematics Ii 2024 (30 June 2024) 20

  • b

  • c

  • a

  • d

Scroll to Top
KVS & NVS Vacancies Increased : Latest Recruitment Update Bihar Government Renames Three Departments : Official Update. Diwali Set to Join the List as the 16th Intangible Heritage Site RRB NTPC CBT 2 : Latest Two Major Updates You Must Know RRB Group D 62,000 Vacancies : Kya Hai Sach ?