Question 1: 
Question 2: 
Question 3: 
Question 4:
The mean of 10 observations is 5.5. If each observation is multiplied by 4 and subtracted from 44, what will be the new mean?
10 प्रेक्षणों का माध्य 5.5 है। यदि प्रत्येक प्रेक्षण को 4 से गुणा कर दिया जाए और 44 में से घटा दिया ज़ाए, तो नया माध्य क्या होगा?
Question 5: 
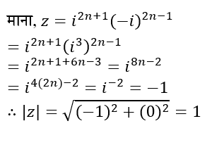
Question 6: 
Question 7: 
Question 8: 
Question 9: 
Question 10:
What is the number of spheres of radius r touching the coordinate axes?
निर्देशांक अक्षों को स्पर्श करने वाले r त्रिज्या के गोलों की संख्या कितनी है?









