Question 1: 
Question 2: 
Question 3: 
Question 4:
Find the HCF of 36/75, 48/50 and 72/30.
36/75, 48/50 और 72/30 का म.स.प (HCF) ज्ञात कीजिए।
Question 5: 
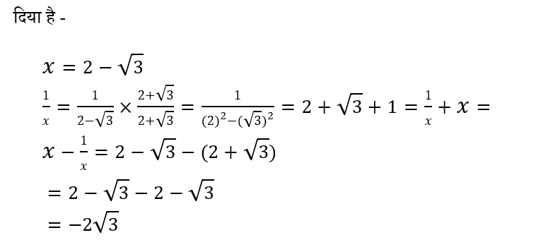
Question 6: 

Question 7:
By selling 18 cots for ₹ 16800, a person earns a profit equal to the purchase price of 3 cots. Find the purchase price of one cot.
एक व्यक्ति ₹16800 में 18 खाट बेचकर, 3 खाट के क्रय मूल्य के बराबर का लाभ प्राप्त करता है। एक खाट का क्रय मूल्य ज्ञात कीजिए ।
Question 8:
The average score of a group of 12 members was 8, while the average score of another group of members was 10. If the combined average was 9.2, find the value of n.
12 सदस्यों के एक समूह का औसत स्कोर 8 था, जबकि सदस्यों के एक अन्य समूह का औसत स्कोर 10 था । यदि संयुक्त औसत 9.2 था, तो n का मान ज्ञात कीजिए।
Question 9: 
Question 10:
If the selling price is ₹ 1680, then there is a loss of 16%. If there is a profit of 15% even after giving a discount of 8%, then what should be the marked price of the product?
यदि विक्रय मूल्य ₹ 1680 हो, तो 16% की हानि होती है । यदि 8% की छूट देने के बाद भी 15% का लाभ होता हो, तो उत्पाद का अंकित मूल्य कितना होना चाहिए?










