| Commission | Staff Selection Commission (SSC) |
| Post |
|
| Total Vacancy | 5296 |
| Important Dates |
|
| Application Fee |
|
| Age |
|
| Mode Of Examination | Online |
| Selection Process |
|
| Official Website | Click Here |
| Check Result | Link 1 |
SSC CPO Final Result 2025
SSC Staff Selection Commission (SSC) has released the SSC CPO Final Result 2025 at www.ssc.gov.in. A total of 8079 (5296 candidates (Female- 455 and Male – 4841) are finally selected for Sub-Inspector.
| Category | SI in Delhi Police (Female) | SI in CAPFs (Female) | SI in CAPFs (Male) |
| UR | 28 | 157 | 1902 |
| OBC | 15 | 113 | 1305 |
| SC | 08 | 57 | 702 |
| ST | 04 | 28 | 346 |
| EWS | 06 | 39 | 473 |
| Total | 61 | 394 | 4728 |
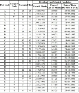
SSC CPO Cut Off Marks
Female Candidates

Male Candidates

Vacancy Details
Sub-Inspector (Exe.) in Delhi Police-Male
| Details | UR | OBC | SC | ST | EWS | Total |
| Open | 45 | 24 | 13 | 07 | 12 | 101 |
| Ex-Servicemen (ESM) | 03 | 02 | 01 | 01 | – | 07 |
| Ex-Servicemen (Special Category) | 03 | 01 | 01 | 01 | – | 05 |
| Departmental Candidates | 06 | 03 | 02 | 00 | 01 | 12 |
| Total | 56 | 30 | 17 | 09 | 13 | 125 |
Sub-Inspector (Exe.) in Delhi Police-Female
| Details | UR | OBC | SC | ST | EWS | Total |
| 28 | 15 | 08 | 04 | 06 | 61 |
SSC CPO Paper-1 Exam Pattern
- There would be 200 Multiple-Choice Questions in the SSC CPO Paper 1.
- Each correct answer will score you 1 mark, and for each incorrect answer, there will be a negative marking of 0.25 mark.
- The duration of the SSC CPO 2025 Paper 1 will be 2 hours (120 minutes).
- This time, SSC has introduced sectional timing in Paper 1, i.e. 30 minutes for each part.
| SSC CPO Paper-1 Exam Pattern 2025 | |||
| Subject | No. of Questions | Maximum Marks | Duration |
| General Intelligence & Reasoning | 50 | 50 | 30 minutes |
| General Knowledge & General Awareness | 50 | 50 | 30 minutes |
| Quantitative Aptitude | 50 | 50 | 30 minutes |
| English Comprehension | 50 | 50 | 30 minutes |
| Total | 200 | 200 | 2 hours |
SSC CPO Paper 2 Exam Pattern 2025
SSC CPO Paper-2 will be conducted after the PET/PST Test for SSC CPO 2025 is conducted.
- The total time duration of the exam is of 120 minutes i.e. 2 hours.
- The total number of questions asked will be 200 MCQ and the maximum marks for Paper-2 will be 200.
- The test will be of the English Language and Comprehension conducted online.
- There will be a negative marking of 0.25 marks for each wrong answer.
| SSC CPO Paper 2 Exam Pattern 2025 | |||
| Subjects | No. of Questions | Marks | Duration |
| English Language and Comprehension | 200 | 200 | 2 hours |
Some Important links
Check Official Notification | Click Here |
Check Syllabus & Exam Pattern | Click Here |
SSC Official Website | Click Here |
| Join WhatsApp Channel | Click Here |
| Join Telegram Channel | Click Here |
| RWA Batch | Click Here |

